氦质谱检漏仪是根据质谱学原理,用氦气作探索气体制成的气密性检测仪器,其质谱原理如图所示。

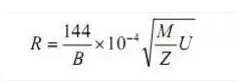
灯丝发射出来的电子在电离室内来回的振荡,与电离室内气体和经被检件漏孔进入电离室的氦气相互碰撞使其电离成正离子,这些离子在加速电场作用下进入磁场,由于洛伦兹力作用产生偏转,形成圆弧形轨道,轨道半径

式中 R ——离于偏转轨道半径(cm )
B ——磁场强度(T)
M/Z——离子的质(量)/(电)荷比(正整数)
U ——离子加速电压(V)
由上式可知,当 R 、B 为定值时,改变加速电压可使不同质量的离子通过磁场和接收缝到达接收极而被检测。
氦质谱检漏是一种快速、灵敏、可靠并且可以定位漏点的检漏方法。广泛用于航天、汽车、电池、真空、阀门等领域。